
Within the spaceflight group, it may be modern to assist one firm or company on the expense of others. Even well-known journalists usually show favoritism in the direction of SpaceX or Blue Origin; in the direction of conventional protection contractors or entrepreneurial companies; or in the direction of human or robotic missions. Aerospace is arguably a extra tribal subject now than at any level in its historical past thus far. There may be nothing inherently flawed with this development; it’s a pure consequence of the expansion of the trade and the proliferation of other media. Nevertheless, we can not lose sight of the truth that all of our favourite entities finally serve a bigger trigger – one which has grave implications for each single one among us. When Senior Editor Jim Hillhouse based this outlet 18 years in the past, he didn’t identify it “OldSpace” or “NewSpace”; he named it AmericaHouse.
And America’s area program is in deep trouble.

Whereas some specialists are nonetheless detest to acknowledge it, america’ management in area is being threatened for the primary time in 60 years. Whereas NASA’s flagship Artemis program has encountered delays, the China Nationwide House Company (CNSA) has quietly superior its personal lunar structure. Its Mengzhou crew capsule accomplished an uncrewed check flight in 2019, a full-scale prototype of its Lanyue lander is present process thermal and vacuum testing, and its Lengthy March 10 Moon rocket is derived from the Lengthy March 5, which has flown 14 instances with only one failure.

China’s easy, disciplined strategy has a number of benefits over the Artemis program of document. It requires simply two launches, eliminating the necessity for orbital refueling. It makes use of hypergolic propellants, which have been utilized in Apollo and are as we speak utilized in Orion, relatively than cryogenic gas and oxidizer, which require refrigeration to keep away from boil-off. Lastly, it levels out of a low lunar orbit relatively than a near-rectilinear halo orbit, which reduces the period of the mission and results in extra frequent abort alternatives. CNSA’s acknowledged objective is to land two of its taikonauts on the Moon previous to 2030, which means that the touchdown will most definitely happen in 2029.
Due to China’s progress, it’s attainable – even perhaps possible – that the subsequent voice heard from the Moon might be talking in Mandarin. This regarding state of affairs is now a topic of debate within the halls of Congress. Throughout the affirmation listening to for NASA Administrator nominee Jared Isaacman, Ted Cruz, the chief of the Senate House Subcommittee, Maria Cantwell, his Democratic counterpart; and Isaacman himself acknowledged that profitable the Moon race is NASA’s most essential precedence, even because the company units its sights on Mars [1].

Wanting on the Artemis structure, some parts of this system are in higher form than others. The SLS rocket and Orion spacecraft are being thought of for termination following Artemis 3, this system’s first lunar touchdown. It’s true that these techniques are costly. However Orion and SLS are operational, and for the foreseeable future, they’re the one solution to ship astronauts past low-Earth orbit. Barring any severe points with Artemis 2, there is no such thing as a cause to anticipate that they won’t be accessible in time for a lunar touchdown in 2028. Much less info is out there on Axiom House’s AxEMU area go well with, which the astronauts will put on on the lunar floor. Nevertheless, prototypes of the go well with are already being examined in NASA’s Impartial Buoyancy Laboratory, and the design closely leverages NASA’s preexisting superior area go well with designs.

As an alternative, the pacing merchandise seems to be the Human Touchdown System (HLS). Even if touchdown on the Moon is arguably probably the most difficult portion of the Artemis 3 mission profile, the lander is the factor which acquired the newest begin. The primary HLS contract was awarded in 2021, which implies that the car have to be operational inside 7 years to make sure victory within the rising Moon race.
To make issues worse, NASA didn’t choose an strange lander for Artemis 3. On paper, SpaceX’s Starship guarantees extraordinary efficiency, as its producer claims that it will likely be in a position to land as much as 100 tons of cargo on the Moon. Nevertheless, Starship’s growth has progressed extra regularly than NASA and SpaceX had hoped [2]. To be honest, this system has reached some spectacular milestones. Most notably, SpaceX guided Starship’s first stage – probably the most highly effective rocket booster ever constructed – again to its launch web site and caught it with two mechanical arms on its gantry tower. It was an unforgettable second.

Sadly, the event of the second stage, which can finally evolve into the lunar variant of Starship, has not saved tempo. On Tuesday, Might 27th, the V2 variant of Starship, which was alleged to rectify the system’s efficiency points, failed for a 3rd consecutive time. Shortly after its engines minimize off, it tumbled uncontrolled and reentered Earth’s environment. Even after Starship reaches orbit (which was alleged to be the simple a part of the event program), it should reveal the power to switch tons of of tons of cryogenic propellant between ships in orbit; retailer that propellant with out boil-off for as much as 100 days; and land on the rugged lunar floor with out tipping over.
1000’s of proficient engineers are working lengthy hours to assist Starship notice its potential, and it stays attainable that it’s going to mature right into a dependable system. Nevertheless, it’s merely unreasonable to anticipate any workforce, nonetheless succesful, to drag off a miracle and land a Starship-class car on the Moon earlier than Lanyue is able to fly. Testimony by Dr. Brian Dunbacher and Dr. Scott Tempo in a listening to on February 26, 2025 earlier than the Home Subcommittee on House and Aeronautics left little doubt that the Chinese language will beat america to the Moon. Beneath questioning by Rep. Keith Self, Tempo and Dumbacher expressed skepticism that SpaceX will meet its HLS contract obligations to land astronauts on the Moon in 2027, and even by 2030 [3].

In a typical NASA business program, a second supplier is meant to take over and full the mission if the trade chief flounders. A shining instance is how SpaceX’s Crew Dragon lined for Boeing’s Starliner, which encountered a spread of points after it acquired the best ranking of any Business Crew proposal. Nevertheless, the second HLS contractor, Blue Origin, was solely awarded funding in 2023, two years after SpaceX.
Like SpaceX, Blue Origin has reached some noteworthy milestones. Throughout an interview an interview on 60 Minutes in March 2024, John Couluris, Blue Origin’s Senior Vice President of Lunar Permanence, stated {that a} subscale Mark 1 Blue Moon prototype could be able to land on the Moon in 12-16 months [4]. Many within the aerospace group have been skeptical of such an aggressive declare on the time, however recently, it seems that Blue Moon might be able to fly by August or September of this yr.

Nevertheless, the human-scale Blue Moon Mark 2 shares Starship’s architectural complexity, because it closely leverages orbital refueling. Blue Moon’s hydrogen and oxygen propellants, which have to be launched by not less than 4 tankers, might be delivered to lunar orbit by a reusable Cislunar Transporter. Previous to its first lunar mission, Blue Origin should develop a lander, a tanker, and the Cislunar Transporter itself. In the long run, Blue Origin’s structure might allow a spread of missions, however it’s, as soon as once more, unlikely to be prepared by 2029.
In brief, NASA and its contractors must discover a solution to simplify the HLS structure and convey a crewed lander into service at an earlier date. As NASA’s encyclopedia of lunar lander idea research demonstrates, there are numerous methods which might end in a constructive consequence [5]. On this article, we are going to current an “existence proof” for an HLS-derived car which might accomplish a lunar touchdown by the top of 2028. Whereas it is probably not the one possibility, we imagine this to be probably the most simple path in the direction of stopping a crushing geopolitical defeat for America in area.

1. The Structure:
Over a interval of 9 months, we assessed a number of different HLS ideas, starting from the present program of document to a wholly new lander design. At this second, the idea offered on this article seems to be probably the most possible from each technical and budgetary views. The design ideas used to pick out this answer are described beneath.
1. The lander have to be accessible by the top of 2028. CNSA has not printed a date for its first crewed touchdown; subsequently, till we hear in any other case, we should assume that it might happen at any level inside 2029.
2. The structure ought to maximize the usage of {hardware} which both exists or is in growth. This minimizes the potential for delays, and it lowers the price of what might be, by definition, an interim answer for lunar landings. Securing funding for a “clean-sheet” lander is unlikely within the present budgetary atmosphere.
3. The lander needs to be able to finishing its mission with a single launch. In-space meeting and orbital refueling each require vital complexity and excessive launch cadences, which place a 2028 touchdown in danger.
Once we survey the business area trade with these necessities in thoughts, a handful of observations change into obvious. SpaceX has a big, low-cost launch car, however no lander to placed on prime of it. Blue Origin has a small lander, however no rocket which might ship it on to the Moon. United Launch Alliance (ULA) has a particularly environment friendly higher stage, however when it flies on the usual Vulcan rocket, it consumes most of its propellant earlier than reaching orbit.

With these precepts in thoughts, a possible structure comes into focus. A pictorial depiction of the mission profile is out there originally of this part. Because the launch date for Artemis 3 approaches, an expendable variant of SpaceX’s Starship will place a lunar lander stack right into a steady low Earth orbit. The stack consists of a fully-fueled Centaur V, appearing as an Earth Departure Stage, and a Blue Moon Mark 2 lander. The Blue Moon has been stripped of three tons of dry mass in order that it may be propelled on to the Moon by the Centaur V whereas nonetheless finishing its mission with out refueling.
As soon as Blue Moon arrives in a near-rectilinear halo orbit (NRHO), the Artemis 3 crew will depart for the Moon inside an Orion capsule. Orion will dock on to Blue Moon as an alternative of utilizing the Gateway area station (which is proposed for cancellation) as an middleman. From this level onwards, the mission profile is actually an identical to the present Artemis 5 mission idea, with Blue Moon touchdown two astronauts on the lunar floor and returning them safely to Orion following the conclusion of the mission.
The entire math which describes this mission profile is included beneath. When you want to skip forward, you need to simply bear in mind that this structure closes with out incorporating unrealistic assumptions or defying the legal guidelines of physics.

2. Centaur V Payload Capability:
Surprisingly, the maneuver which wound up dictating the design of the structure was in the midst of the mission profile. Even with a full load of gas, the Centaur V Earth Departure Stage (EDS) can solely ship a restricted amount of mass to the Moon. This, in flip, dictates the whole mas of the lander, which is instantly correlated with its dry (unfueled) mass.
All through the rest of this text, we are going to make heavy use of the Russian physicist Konstantin Tsiolkovsky’s rocket equation. This is among the most well-known mathematical formulation within the subject of aerospace engineering, because it dictates how a lot delta-V a rocket with a given payload possesses. A rocket’s delta-V dictates how a lot its velocity will improve throughout flight, which in flip dictates the orbits which it may possibly attain. It’s broadly much like your automotive’s vary, which depends upon each the dimensions of its fuel tank and the effectivity of its engine. When you add extra gas or purchase a extra environment friendly automotive, you possibly can drive additional. Right here is the rocket equation:


ISP is brief for particular impulse. Primarily, it describes the effectivity of a rocket engine, which varies primarily based on which propellant is used. g is Earth’s gravitational fixed. When you ever took an introductory physics class, its worth, 9.8 m/s2, might be seared into your reminiscence. On this equation, it simply converts a car’s weight on Earth into its absolute mass, which doesn’t rely on gravity. A rocket’s dry mass describes its weight with out propellant, whereas its moist mass consists of gas and oxidizer along with its main construction.
To find out the feasibility of our different lunar lander structure (or another interplanetary mission, for that matter), we additionally want a desk of delta-V values. At its core, area journey revolves across the idea of transferring into and out of gravity wells. Whatever the design of a rocket or a spacecraft, it wants a hard and fast quantity of delta-V to succeed in any given vacation spot, whether or not or not it’s an orbit or a planetary floor. These numbers fluctuate relying on which useful resource you seek the advice of, however right here, we are going to discuss with a delta-V diagram offered in a NASA white paper on Artemis staging orbits [6].

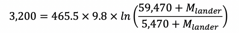
In our structure, the Centaur V solely must carry out the trans-lunar injection (TLI) burn, which requires 3,200 m/s of delta-V. Its RL-10 engines could also be 60 years outdated, however they nonetheless have one of many highest ISPs within the trade: 465.5 seconds. The stage has a dry mass of 5,470 kg, and it carries 54,000 kg of propellant. That’s the reason the Centaur is such an efficient higher stage: over 90% of its mass is propellant! Once we plug these numbers into the rocket equation, that is what the components appears to be like like.

Once we resolve for the mass of the lander, we are able to see that Blue Moon may have 47,643 kg of mass to work with. The Centaur V itself would require minimal modifications for this mission, though its construction might have to be bolstered since Blue Moon is extra huge than its regular 27-ton payloads.

3. Blue Moon Dry Mass:
In Blue Origin’s present HLS proposal, the corporate’s crewed lunar lander has an unfueled mass of 16,000 kg, with a 6,000-kg crew cabin. Throughout every Artemis mission, it might want to journey from NRHO to the floor of the Moon and again once more. While you add within the propellant required to finish that mission, the lander has a complete mass of 54,000 kg, which makes it too heavy for the Centaur V.
Due to this fact, the lander might want to go on a weight-reduction plan to be able to match our different single-launch structure. Nearly all of its mass is propellant, and the one solution to scale back propellant is to scale back dry mass. Blue Moon’s BE-7 engines have an ISP of 453 seconds. Within the mission profile which we’re analyzing, it should insert itself into NRHO after which carry out the spherical journey to the lunar floor. These maneuvers are equal to five,860 m/s of delta-V. Right here is the rocket equation for Blue Moon:


Assuming that each one of those numbers are appropriate, Blue Moon’s dry mass might be no larger than 12,727 kg. In different phrases, its mass have to be lowered by 3.3 kg for the mission idea to shut. That is actually difficult, however not implausible. Because it is not going to require refueling, all of its propellant switch interfaces, in addition to the navigation aids for the Cislunar Transporter, might be eliminated. Throughout Artemis 3, two astronauts will land on the Moon as an alternative of a full crew of 4, and they’re going to solely keep on the floor for six days relatively than a month. Due to this fact, there are additionally ample alternatives to scale back the mass of the crew cabin. Even the lander’s airlock might be eliminated for an preliminary sortie mission; as an alternative, the complete cabin might be depressurized, because it was throughout Apollo.

4. Starship Payload Mass:
Figuring out the whole payload mass which Starship might want to carry is relatively simple. The mixed mass of the Centaur V and the modified Blue Moon is 107,113 kg. Whereas that is bigger than the rocket’s baseline 100-ton payload capability, it needs to be comparatively straightforward to extend its capability by 7%. Since it will likely be launching in an expendable configuration, the second stage might be stripped of its aerodynamic management flaps and its warmth protect tiles. If wanted, the booster can be expended, which might improve Starship’s complete efficiency by round 30%.

Like Blue Moon, Starship would require a handful of modifications for this proposed mission. The lander will have to be encapsulated inside an expendable payload fairing, and the launch pad infrastructure will have to be modified to distribute liquid hydrogen to the Centaur V and Blue Moon. SpaceX has already demonstrated the power to load payloads with a devoted provide of gas throughout Intuitive Machines’ lunar missions, so dealing with three forms of propellant is inside the firm’s experience.
Alternatively, an SLS Block 2 might ship a lander with a mass of round 45 tons on to the Moon, without having an Earth Departure Stage. Nevertheless, this upgraded variant of the rocket would require a brand new launch tower, higher stage, and boosters; all of those parts are presently proposed for cancellation.

5. Conclusions:
In latest months, america’ defeat within the new area race has been handled as a fait accompli. Happily, this consequence isn’t but inevitable. NASA nonetheless has a number of key benefits over CNSA, together with a five-year head begin and the provision of key mission parts, equivalent to SLS and Orion. As we have now proven on this article, there’s not less than one structure which might place People on the Moon earlier than 2029 with out requiring a brand new program or an Apollo-like improve in funding. Different choices might exist, however NASA and its political stakeholders might want to act rapidly to reap the benefits of them. The window for motion is closing, and as little as 4 years stay earlier than the primary crewed Chinese language lunar touchdown.
Funding is at all times a priority, however the marginal value of this simplified HLS structure needs to be minimal. Because it makes use of automobiles that are already underneath growth, equivalent to Starship and Blue Moon, NASA might probably clear area within the funds for it by delaying growth milestones for the extra succesful HLS landers. Alternatively, given Congress’ vested curiosity in finishing a lunar touchdown forward of China, the percentages of securing small portions of further funding for the mission are comparatively excessive.

Success would require the very best from each NASA and personal trade. Blue Origin, SpaceX, ULA, and probably different corporations have the {hardware} wanted to finish Artemis 3 on schedule. Nevertheless, all of those corporations are rivals within the launch trade. Robust management might be required to persuade them to work collectively and to handle any conflicts which come up. Solely NASA can present that. To this point, NASA has been content material to shift the accountability (and the blame) for HLS’s progress to its business companions. The company might want to assume a bigger function and work hand-in-hand with the personal sector to maximise the chance of mission success. Solely by working collectively as one nation will we be capable of win the Moon race and protect our future amongst the celebrities.
Comply with AmericaSpace for area information, historical past, and extra!
Missions » SLS » Artemis »
Posts related to the SLS missions