• DMCA
  • Disclaimer
  • Privacy Policy
  • Cookie Privacy Policy
  • Terms and Conditions
  • Contact us
Inter Space Sky Way
  • Home
  • Alien
  • UFO
  • Space
  • NASA
  • Space Flight
  • Astronomy
No Result
View All Result
  • Home
  • Alien
  • UFO
  • Space
  • NASA
  • Space Flight
  • Astronomy
No Result
View All Result
Inter Space Sky Way
No Result
View All Result
Home Astronomy

XRISM Catches a Pulsar’s Cosmic Wind…and Sees a Stunning Consequence

October 25, 2025
in Astronomy
59 3
0
XRISM Catches a Pulsar’s Cosmic Wind…and Sees a Stunning Consequence
74
SHARES
1.2k
VIEWS
Share on FacebookShare on Twitter


You might also like

Armagh Observatory and Planetarium unveils stellar imaginative and prescient for the longer term – Astronotes

SpaceX plan for 1 million orbiting AI information facilities might damage astronomy, scientists say

Bus-sized asteroid will fly previous Earth tonight mere days after being found. Here is what to anticipate

The joint XRISM X-ray observatory chronicles the unusual winds of a dying star.

The Universe is an odd place. The X-ray Imaging and Spectroscopy Mission (XRISM) orbiting observatory lately highlighted this truth, when it was turned on a pulsar to document its highly effective cosmic winds.

The XRISM observatory is a joint mission for NASA, the European House Company (ESA), and the Japan Aerospace Exploration Company (JAXA). The mission was additionally a alternative for the ill-fated Hitomi X-ray observatory, which failed shortly after launch in 2016.

The invention comes courtesy of ESA’s Resolve instrument, a gentle X-ray spectrometer aboard XRISM. The research checked out neutron star GX 13+1. This can be a sturdy X-ray supply positioned within the constellation Sagittarius, very close to the galactic aircraft in the direction of the core of our galaxy. GX 13+1 is about 23,000 light-years distant. The system is a binary, consisting of a pulsar and a large star in a 24.5-day orbit.

The Chandra X-ray observatory 'sees' pulsar GX 13+1. Credit: NASA/Chandra. The Chandra X-ray observatory ‘sees’ pulsar GX 13+1. Credit score: NASA/Chandra.

Also referred to as pulsars, neutron stars are the collapsed cores and remnants of huge stars. The primary pulsar was found within the coronary heart of the Crab Nebula (Messier 1) in 1967. The identify ‘pulsar’ comes from how they flash or ‘pulse’ in a rhythmic style. For a quick time shortly after discovery, these even earned them the moniker LGM-1, for ‘Little Inexperienced Males (!)’

The Resolve detector. Credit: ESA *The Resolve detector. Credit score: ESA*

We now know that pulsars are pure, albeit weird, phenomena within the Universe. Like black holes, pulsars are surrounded by an accretion disc of in-falling scorching matter. This influx additionally fuels a strong outflow, distinguished in X-rays.

These highly effective winds can affect native stellar environments, both inflicting gasoline clouds to break down selling new star formation, or denying this, and breaking these clouds aside. Suggestions winds surrounding supermassive black holes may be so intense that they will dominate the star formation exercise of their whole host galaxy.

The group used the chance to show XRISM and Resolve on pulsar GX 13+1 as a attainable analogue to outflow winds round black holes. Nearer and brighter in X-rays than most supermassive black holes, GX 13+1 was a primary candidate for the research.

XRISM by the numbers. Credit: ESA. XRISM by the numbers. Credit score: ESA.

They had been in for a shock. GX 13+1 instantly started to brighten proper earlier than the statement window opened. This serendipitous prevalence gave astronomers a uncommon probability to check the outflow winds intimately. The collision strain even hit the Eddington restrict, the barrier at which the high-energy mild strain converts the entire in-falling matter into the out-flowing cosmic wind.

“Once we first noticed the wealth of particulars within the information, we felt we had been witnessing a game-changing end result,” says Matteo Guainazzi (ESA) in a recent press release. “For many people, it was the belief of a dream that we had chased for many years.”

However this unusual pulsar wind additionally appeared to have a persona all of its personal. Particularly, this wind really appeared to be sluggish, transferring at ‘solely’ a gradual 1 million kilometers per hour. Whereas which will appear swift, winds seen whipping away from supermassive black holes reaching the Eddington restrict are actual quick movers, touring at 200 million kilometers per hour. That’s round 1 / 4 of the velocity of sunshine.

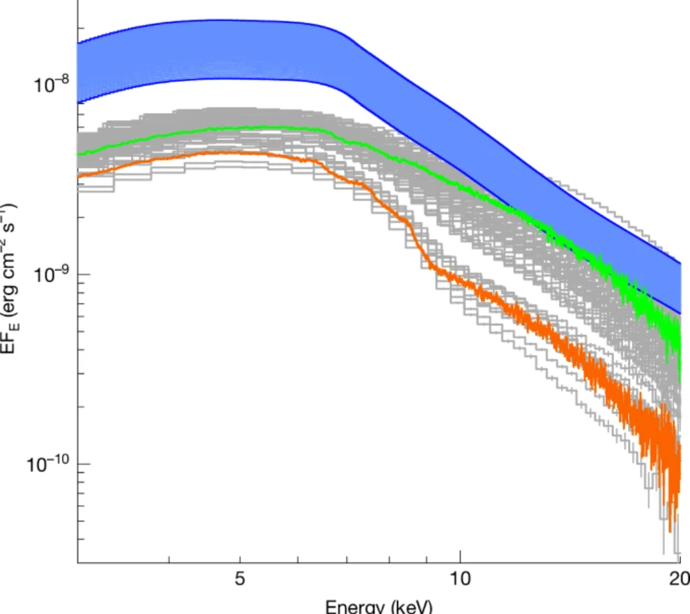
The historical variability for GX 13+1 seen in XRISM/NuSTAR corrected data (orange) versus RXTE (grey) and NuSTAR (blue). Credit: NASA/ESA/XRISM/NuSTAR. The historic variability for GX 13+1 seen in XRISM/NuSTAR corrected information (orange) versus RXTE (gray) and NuSTAR (blue). Credit score: NASA/ESA/XRISM/NuSTAR.

This pulsar wind can also be easy, versus the clumpy wind seen emanating from the accretion discs surrounding supermassive black holes. At this level, researchers suspect the distinction is because of the measurement and temperature of the encompassing accretion discs. Paradoxically, the discs round supermassive black holes are bigger than those seen round pulsars, and cooler. The invention is essential in understanding simply how pulsars and black holes affect their native atmosphere and the way it drives star formation.

The decision of XRISM made this discovery attainable. ESA additionally has future plans for a follow-up mission dubbed ATHENA (Superior Telescope for Excessive Vitality Astrophysics) set to launch in 2037.

An artist's conception of the New Athena mission. Credit: ESA. An artist’s conception of the New Athena mission. Credit score: ESA.

Though XRISM doesn’t get the press of Hubble or JWST, it’s a tremendous instrument. This discovery shines mild on hidden cosmic winds and their function within the Universe.



Source link

Tags: catchescosmicPulsarsresultSeessurprisingWind...andXRISM
Share30Tweet19

Recommended For You

Armagh Observatory and Planetarium unveils stellar imaginative and prescient for the longer term – Astronotes

by Chato80
March 13, 2026
0
Armagh Observatory and Planetarium unveils stellar imaginative and prescient for the longer term – Astronotes

Communities Minister Gordon Lyons has hailed the imaginative and prescient for brand spanking new amenities at Armagh Observatory and Planetarium (AOP). The Minister visited the positioning and met...

Read more

SpaceX plan for 1 million orbiting AI information facilities might damage astronomy, scientists say

by Chato80
March 13, 2026
0
SpaceX plan for 1 million orbiting AI information facilities might damage astronomy, scientists say

SpaceX's plan to launch a million orbiting information facilities to house worries astronomers,who say the satellite tv for pc streaks attributable to the proposed constellation would severely impair...

Read more

Bus-sized asteroid will fly previous Earth tonight mere days after being found. Here is what to anticipate

by Chato80
March 12, 2026
0
Bus-sized asteroid will fly previous Earth tonight mere days after being found. Here is what to anticipate

A newly found bus-sized asteroid is ready to buzz Earth late on March 12, passing nearer than the moon because it zips silently beneath Antarctica, posing no threat...

Read more

‘Within the previous days, we had been observing a f ***ing inexperienced display screen with tape marks on it’: We discuss to ‘Star Trek’ legend Jonathan Frakes about directing ‘Starfleet Academy’ season 1’s penultimate episode

by Chato80
March 11, 2026
0
‘Within the previous days, we had been observing a f ***ing inexperienced display screen with tape marks on it’: We discuss to ‘Star Trek’ legend Jonathan Frakes about directing ‘Starfleet Academy’ season 1’s penultimate episode

Issues are actually heating up for the ultimate chapters of Paramount+'s "Star Trek: Starfleet Academy". After a short respite in Episode 8, "The Lifetime of the Stars," the...

Read more

Jupiter’s moons go away chilly ‘footprints’ within the planet’s auroras, James Webb Area Telescope finds

by Chato80
March 10, 2026
0
Jupiter’s moons go away chilly ‘footprints’ within the planet’s auroras, James Webb Area Telescope finds

Jupiter's moons can have shocking results on the world's shows of auroral lights by "stomping down" on the planet's gigantic magnetic surroundings.These shocking results, detected in observations from...

Read more
Next Post
Australia’s Gilmour House ‘not going to surrender’ because it eyes 2nd orbital launch try in 2026

Australia's Gilmour House 'not going to surrender' because it eyes 2nd orbital launch try in 2026

Leave a Reply Cancel reply

Your email address will not be published. Required fields are marked *

Browse by Category

  • Alien
  • Astronomy
  • NASA
  • Space
  • Space Flight
  • UFO

Recent News

Watch a sci-fi showroom develop into a blast zone in new prank video for Bungie’s ‘Marathon’ launch (video)

Watch a sci-fi showroom develop into a blast zone in new prank video for Bungie’s ‘Marathon’ launch (video)

March 13, 2026
The March full moon glows purple via Saharan mud in eerie composite view

The March full moon glows purple via Saharan mud in eerie composite view

March 13, 2026
Armagh Observatory and Planetarium unveils stellar imaginative and prescient for the longer term – Astronotes

Armagh Observatory and Planetarium unveils stellar imaginative and prescient for the longer term – Astronotes

March 13, 2026
Why the Anunnaki Engineered Your DNA

Why the Anunnaki Engineered Your DNA

March 13, 2026
SpaceX plan for 1 million orbiting AI information facilities might damage astronomy, scientists say

SpaceX plan for 1 million orbiting AI information facilities might damage astronomy, scientists say

March 13, 2026
Earth from House: Maritime highways within the Øresund Strait

Earth from House: Maritime highways within the Øresund Strait

March 13, 2026
  • DMCA
  • Disclaimer
  • Privacy Policy
  • Cookie Privacy Policy
  • Terms and Conditions
  • Contact us
INTER SPACE SKY WAY

Copyright © 2023 Inter Space Sky Way.
Inter Space Sky Way is not responsible for the content of external sites.

No Result
View All Result
  • Home
  • Alien
  • UFO
  • Space
  • NASA
  • Space Flight
  • Astronomy

Copyright © 2023 Inter Space Sky Way.
Inter Space Sky Way is not responsible for the content of external sites.

Welcome Back!

Login to your account below

Forgotten Password?

Retrieve your password

Please enter your username or email address to reset your password.

Log In